Elements of Data Science
SDS 322E

H. Sherry Zhang
Department of Statistics and Data Sciences
The University of Texas at Austin

Fall 2025

Learning objectives

  • Create date and datetime objects from
    • date/ datetime components: make_date(), make_datetime()
    • character strings:
      • as_date(), as_datetime() (base version: as.Date())
      • ymd(), mdy(), dmy(), etc
  • Extract components from date/datetime objects: year(), month(), day(), wday(), yday(), week(), etc
  • Plot time series data with ggplot2, format axes with date/datetime scales: scale_x_date(), scale_x_datetime()

All sorts of date-time data

flights |>
  select(year, month, day, hour, minute, arr_time, time_hour)
# A tibble: 336,776 × 7
   year month   day  hour minute arr_time time_hour          
  <int> <int> <int> <dbl>  <dbl>    <int> <dttm>             
1  2013     1     1     5     15      830 2013-01-01 05:00:00
2  2013     1     1     5     29      850 2013-01-01 05:00:00
3  2013     1     1     5     40      923 2013-01-01 05:00:00
4  2013     1     1     5     45     1004 2013-01-01 05:00:00
5  2013     1     1     6      0      812 2013-01-01 06:00:00
# ℹ 336,771 more rows

Conversion among:

  • arguably recognizable datetime characters: “830” for 8:30am

  • Proper datetime/ date objects: objects of class Date and POSIXct

  • Components of date times: year, month, day, etc

Create date/datetime objects from components

make_date() combines date components into a Date object.

flights |>
  mutate(depature = make_date(year, month, day), .keep = "used")
# A tibble: 336,776 × 4
   year month   day depature  
  <int> <int> <int> <date>    
1  2013     1     1 2013-01-01
2  2013     1     1 2013-01-01
3  2013     1     1 2013-01-01
4  2013     1     1 2013-01-01
5  2013     1     1 2013-01-01
# ℹ 336,771 more rows

make_datetime() creates a date-time object from individual components.

flights |>
  mutate(depature = make_datetime(year, month, day, hour, minute), .keep = "used")
# A tibble: 336,776 × 6
   year month   day  hour minute depature           
  <int> <int> <int> <dbl>  <dbl> <dttm>             
1  2013     1     1     5     15 2013-01-01 05:15:00
2  2013     1     1     5     29 2013-01-01 05:29:00
3  2013     1     1     5     40 2013-01-01 05:40:00
4  2013     1     1     5     45 2013-01-01 05:45:00
5  2013     1     1     6      0 2013-01-01 06:00:00
# ℹ 336,771 more rows

Example: construct depature time

flights |>
  mutate(
    hour = dep_time %/% 100,
    minute = dep_time %% 100,
    dep_time2 = make_datetime(year = year, month = month, day = day, hour = hour, min = minute),
    .keep = "used")
# A tibble: 336,776 × 7
   year month   day dep_time  hour minute dep_time2          
  <int> <int> <int>    <int> <dbl>  <dbl> <dttm>             
1  2013     1     1      517     5     17 2013-01-01 05:17:00
2  2013     1     1      533     5     33 2013-01-01 05:33:00
3  2013     1     1      542     5     42 2013-01-01 05:42:00
4  2013     1     1      544     5     44 2013-01-01 05:44:00
5  2013     1     1      554     5     54 2013-01-01 05:54:00
# ℹ 336,771 more rows

%/% is integer division, %% is modulo operation (remainder after division). They are base R arithmetic operators.

Create date objects from character strings

as.Date() (base) or as_date() (lubridate) converts character strings to Date objects.

"2020-01-01"
[1] "2020-01-01"
as.Date("2020-01-01")
[1] "2020-01-01"

Although the prints are identical before and after, they are internally treated differently (they have different classes). We can check with class():

class(as.Date("2020-01-01"))
[1] "Date"
class("2020-01-01")
[1] "character"

Create datetime objects from character strings

"2020-01-02 03:04:05"
[1] "2020-01-02 03:04:05"
our_datetime <- as_datetime("2020-01-02 03:04:05")
our_datetime
[1] "2020-01-02 03:04:05 UTC"
class(our_datetime)
[1] "POSIXct" "POSIXt" 

Here POSIXct is a date-time class that represents the number of seconds since 1970-01-01 (the “epoch”). Sometimes you may also see POSIXlt in the wild, which is a list-based date-time class (stores a list of date-time components).

This is also how the time_hour variable stored in nycflights13::flights dataset:

flights |> select(time_hour) |> head(1)
# A tibble: 1 × 1
  time_hour          
  <dttm>             
1 2013-01-01 05:00:00
class(flights$time_hour)
[1] "POSIXct" "POSIXt" 

Convert from a proper time object to time components

These are vector functions from the lubridate package

our_datetime
[1] "2020-01-02 03:04:05 UTC"
year(our_datetime)
[1] 2020
month(our_datetime)
[1] 1
month(our_datetime, label = TRUE)
[1] Jan
12 Levels: Jan < Feb < Mar < Apr < May < Jun < Jul < Aug < Sep < ... < Dec
day(our_datetime)
[1] 2
hour(our_datetime)
[1] 3
minute(our_datetime)
[1] 4
second(our_datetime)
[1] 5
wday(our_datetime)
[1] 5
yday(our_datetime)
[1] 2
week(our_datetime)
[1] 1

Example: extract time components out of a datetime object

They can be used inside mutate() to extract components from a date-time variable:

flights |> 
  mutate(
    year = year(time_hour),
    month = month(time_hour, label = TRUE),
    day = day(time_hour),
    hour = hour(time_hour),
    minute = minute(time_hour),
    wday = wday(time_hour, label = TRUE),
    yday = yday(time_hour),
    week = week(time_hour),
    .keep = "used"
  )
# A tibble: 336,776 × 9
   year month   day  hour minute time_hour           wday   yday  week
  <dbl> <ord> <int> <int>  <int> <dttm>              <ord> <dbl> <dbl>
1  2013 Jan       1     5      0 2013-01-01 05:00:00 Tue       1     1
2  2013 Jan       1     5      0 2013-01-01 05:00:00 Tue       1     1
3  2013 Jan       1     5      0 2013-01-01 05:00:00 Tue       1     1
4  2013 Jan       1     5      0 2013-01-01 05:00:00 Tue       1     1
5  2013 Jan       1     6      0 2013-01-01 06:00:00 Tue       1     1
# ℹ 336,771 more rows

Parse date-time from character strings

If your date/ datetime character strings are in relatively standard format, there are shortcuts:

ymd("2020-01-01")
[1] "2020-01-01"
class(ymd("2020-01-01"))
[1] "Date"
mdy("01-31-2020")
[1] "2020-01-31"
dmy("31-01-2020")
[1] "2020-01-31"
ymd_h("2020-01-01 05")
[1] "2020-01-01 05:00:00 UTC"
ymd_hm("2020-01-01 05:01")
[1] "2020-01-01 05:01:00 UTC"
ymd_hms("2020-01-01 05:01:02")
[1] "2020-01-01 05:01:02 UTC"

Example: ggplot2 downloads over time

pkg_df <- cranlogs::cran_downloads(
  packages = "ggplot2",
  from = "2024-01-01", to = "2024-12-31") |>
  as_tibble()
pkg_df
# A tibble: 366 × 3
  date       count package
  <date>     <dbl> <chr>  
1 2024-01-01 51694 ggplot2
2 2024-01-02 67030 ggplot2
3 2024-01-03 71770 ggplot2
4 2024-01-04 71122 ggplot2
5 2024-01-05 66201 ggplot2
# ℹ 361 more rows

Example: ggplot2 downloads over time

pkg_df |>
  ggplot(aes(x = date, y = count)) +
  geom_line()

Maybe the y-axis can be formatted better 🤔 - where do you think we should go to change the y-axis labels?

Example: ggplot2 downloads over time

Similar to the labeling in facets, we can use scale_y_continuous(labels = ...) to format the y-axis labels.

pkg_df |>
  ggplot(aes(x = date, y = count)) +
  geom_line() + 
  scale_y_continuous(labels = scales::label_comma())

Zoom in for the second half of the year

pkg_df |>
  filter(date > as.Date("2024-07-01")) |>
  ggplot(aes(x = date, y = count)) +
  geom_line() + 
  scale_y_continuous(labels = scales::label_comma())

Maybe we want to format the x-axis better 🤔

scale_x_date

You can change the number of breaks in scale_x_date() with literal text:

  • date_breaks = "1 month" (or "2 weeks", "3 days", etc)
pkg_df |>
  filter(date > as.Date("2024-07-01")) |>
  ggplot(aes(x = date, y = count)) +
  geom_line() +
  scale_y_continuous(labels = scales::label_comma()) + 
  scale_x_date(date_breaks = "1 month")

scale_x_date

You can change the labels in scale_x_date() with date_labels = "..." (see next slide for a list of options)

pkg_df |>
  filter(date > as.Date("2024-07-01")) |>
  ggplot(aes(x = date, y = count)) +
  geom_line() +
  scale_y_continuous(labels = scales::label_comma()) + 
  scale_x_date(date_breaks = "1 month", date_labels = "%Y %b") 

A list of date labels

Type Code Meaning Example
Year %Y 4 digit year 2021
%y 2 digit year 21
Month %m Number 2
%b Abbreviated name Feb
%B Full name February
Day %d One or two digits 2
%e Two digits 02
Time %H 24-hour hour 13
%I 12-hour hour 1
%M Minutes 35
%S Seconds 45

One more example

You can also add other symbols, such as -, / in the date_labels argument.

pkg_df |>
  filter(date > as.Date("2024-07-01")) |>
  ggplot(aes(x = date, y = count)) +
  geom_line() +
  scale_y_continuous(labels = scales::label_comma()) + 
  scale_x_date(date_breaks = "1 month", date_labels = "%y-%b")

Your time

usethis::create_from_github("SDS322E-2025FALL/0502-datetime", fork = FALSE)

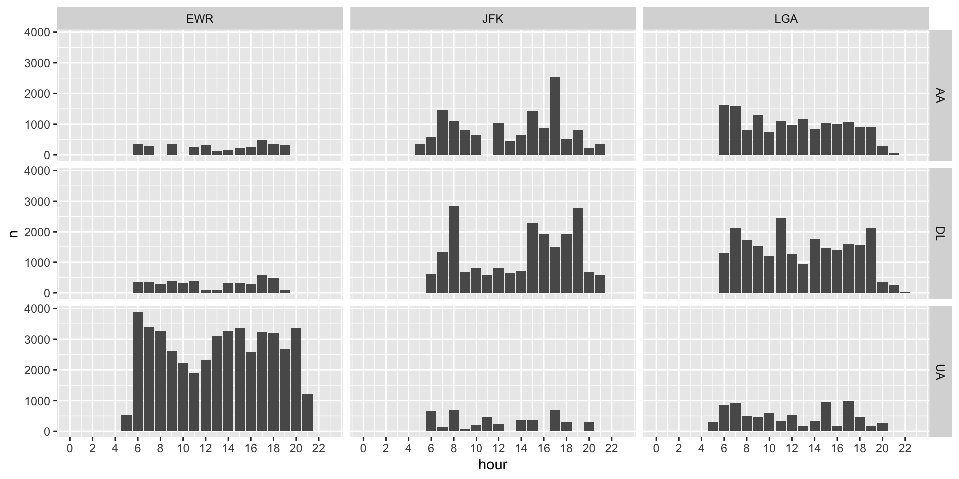
Let’s look at the flights data again, focus only on three carrier: AA, DL, and UA. We can make a plot of the hourly count of flights for each carrier at each of the three airports in NY (EWR, JFK, LGA).

You may start from the following code:

df <- flights |>
  # step 1: focus on three carriers
  ...
  # step 2: count number of flights by carrier, origin, and hour
  ...

df |>
  ggplot(aes(...)) +
  geom_col() +
  # when you want to facet by two variables
  facet_grid(...) +
  # similar to scale_x_date(), with regular scale_x_continuous, you can change the breaks and limits
  # here I ask for a break every 2 hours, and limit the x-axis to be between 0 and 23 
  # (so we can see there are no midnight flights)
  scale_x_continuous(breaks = seq(0, 23, by = 2), limits = c(0, 23))

Solution

df <- flights |>
  filter(carrier %in% c("AA", "DL", "UA")) |>
  count(carrier, origin, hour)

df |>
  ggplot(aes(x = hour, y = n)) +
  geom_col() +
  facet_grid(carrier ~ origin) +
  scale_x_continuous(breaks = seq(0, 23, by = 2), limits = c(0, 23))

Of course, you can keep building on this to make the facet header more informative, change the y-axis labels, etc.